Trong AMOS, khi vẽ mô hình CFA và SEM chúng ta thường xuyên sử dụng mũi tên hai chiều covariance để biểu diễn mối quan hệ giữa các biến độc lập và giữa các sai số. Vậy bản chất của việc nối mũi tên hai chiều này là gì và khi nào sử dụng?
Ký hiệu mũi tên hai chiều trong AMOS (↔) được phần mềm đặt tên là Draw Covariances (Double Headed Arrows). Mũi tên này hầu như sẽ được sử dụng trong hai trường hợp chính.
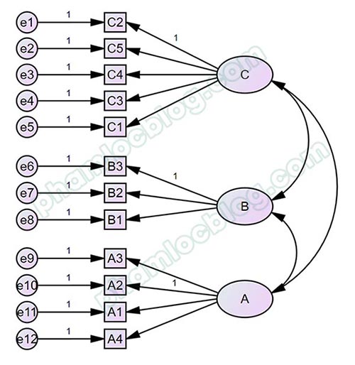
1. Mũi tên hai chiều biểu diễn mối tương quan (correlation) giữa các biến độc lập với nhau
Trong SEM, tính xác định (identification) của mô hình là rất quan trọng. Tính xác định của mô hình nghĩa là mô hình đó vẽ ra được, chạy phân tích được, kết quả không xuất hiện lỗi và phù hợp với dữ liệu. Một mô hình không được xác định khi phân tích trên AMOS thường sẽ không thể thực hiện được và phần mềm sẽ báo lỗi.
Barbara M. Byrne (2009) trong cuốn Structural Equation Modeling With AMOS đã nói rằng: If a unique solution for the values of the structural parameters can be found, the model is considered to be identified, tạm dịch: Nếu giá trị của các tham số cấu trúc của mô hình tìm ra là duy nhất, mô hình được coi là đã được xác định. Như vậy, việc khai báo các tham số chính xác trong mô hình là cực kỳ quan trọng để giúp mô hình có thể xác định được.
Cũng theo Barbara M. Byrne (2009), mỗi tương quan giữa các biến độc lập trong mô hình là một tham số. Do đó, khi vẽ mô hình SEM/CFA trên AMOS, chúng ta cần nối mũi tên hai chiều giữa các biến độc lập lại với nhau để khai báo cho phần mềm biết rằng đó là một tham số cần ước lượng. Mũi tên này sẽ khai báo cho phần mềm biết về sự tồn tại tương quan (correlation) giữa các biến độc lập với nhau. Với CFA, chúng ta không đánh giá mối quan hệ tác động nhân quả, nên không phân biệt độc lập với phụ thuộc trong mô hình, chúng ta sẽ xem tất cả các biến tiềm ẩn (độc lập lẫn phụ thuộc) đều là độc lập. Với SEM, bên cạnh mối tác động nhân quả (mũi tên một chiều từ độc lập lên phụ thuộc), mũi tên hai chiều nối các biến độc lập với nhau đóng vai trò hết sức quan trọng khi xét cả sự tương quan giữa các biến độc lập với nhau trong lúc xét mối tác động nhân quả. Nếu không vẽ mũi tên hai chiều giữa các biến độc lập trong SEM, nghĩa là chỉ tồn tại mối tác động nhân quả và không hề tồn tại sự tương quan nào giữa các biến độc lập.
Trong hình ảnh bên trên, 3 biến A, B, C là các biến tiềm ẩn độc lập, các biến này được nối mũi tên hai chiều với nhau. Giả sử chúng ta không nỗi mũi tên giữa biến A và C, khi thực hiện phân tích, một thông báo sẽ xuất hiện như bên dưới để chúng ta xác nhận có nối mũi tên giữa A với C không.
2. Mũi tên hai chiều nối các cặp sai số có MI cao
AMOS cung cấp cho chúng ta có một chỉ số gọi là chỉ số hiệu chỉnh MI (Modification Indices). Chỉ số này cao chỉ ra các vấn đề về cấu trúc thang đo nhân tố, trùng lắp thang đo, làm giảm độ phù hợp mô hình. Bảng Covariances trong MI thể hiện vấn đề hiệp phương sai của các yếu tố với nhau. Chúng ta sẽ chú trọng tới hiệp phương sai cặp sai số e trong cùng một thang đo. Không có tiêu chuẩn nhất định nào về ngưỡng MI bao nhiêu là cao, tuy nhiên thường các nhà nghiên cứu chọn mức trên 30 làm ngưỡng cân nhắc để đưa ra hướng hiệu chỉnh mô hình.





